Part IB, 2008
Explain what it means for a function of two variables to be differentiable at a point . If is differentiable at , show that for any the function defined by
is differentiable at , and find its derivative in terms of the partial derivatives of at .
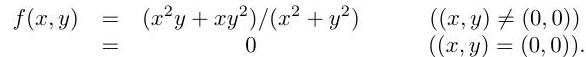
Consider the function defined by

Is differentiable at ? Justify your answer.